Pauta de TV comprova complô contra televisores da educação 15/05/2008 - 18:36
Uma pauta (roteiro definido pela chefia de redação para a produção de textos de jornal) esquecida numa escola estadual em Curitiba nesta quarta-feira (14) e repassada por uma professora ao deputado Luiz Cláudio Romanelli (PMDB), líder do Governo na Assembléia Legislativa, comprova a campanha contra os 22 mil televisores adquiridos pela Secretaria Estadual de Educação e que já estão em funcionamento nas escolas estaduais de todo Paraná.
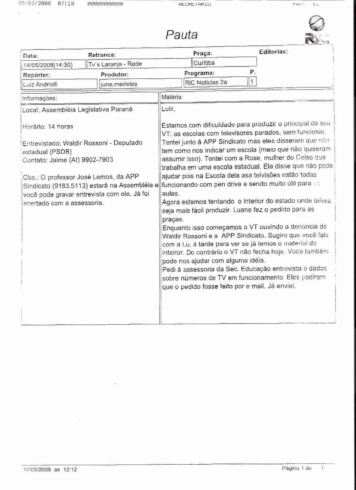
“Estamos com dificuldade para produzir o principal do seu VT (matéria): as escolas com televisores parados, sem funcionar. Tentei junto à APP Sindicato, mas eles disseram que não tem como nos indicar uma escola (meio que não quiseram assumir isso). Tentei a Rose, mulher do Celso, que trabalha em uma escola estadual. Ela disse que não pode ajudar, pois na escola dela as televisões estão todas funcionando com pen drive e sendo muito útil para as aulas”, diz o trecho da pauta do repórter Luiz Andriolli, da RIC Notícias.
Na quarta-feira, Andriolli foi pautado ainda para entrevistar, na Assembléia Legislativa, o deputado estadual, Valdir Rossoni (PSDB), líder da Oposição e um dos principais articuladores, no legislativo, contra a educação pública paranaense. “O professor José Lemos, da APP Sindicato, estará na Assembléia e você pode gravar entrevista com ele. Já foi acertado com a assessoria”, continua a pauta do repórter.
PRIVATISTAS - O deputado Romanelli disse que o roteiro de entrevistas da RIC é mais uma prova cabal dos verdadeiros interesses que estão por traz das matérias e notas veiculadas em jornais, rádios, blogs e tevês e que ganham repercussão nos pronunciamentos dos deputados de oposição. “Eles tiveram seus interesses contrariados e querem a volta das terceirizações, dos contratos fraudulentos que tomaram conta da educação pública no Paraná entre 1995 e 2002”, disse.
“A compra dos televisores era assunto superado no legislativo, na imprensa, mas vem sendo constantemente retroalimentado. Uma hora é o preço, outra hora é armazenamento, outra hora é pen drive, outra o cartão de memória. Agora, falam de um software que estaria impedindo o uso adequado dos televisores. O que querem mais os privatistas do ensino público do Paraná?”, questiona o deputado.
Romanelli estranha que o assunto voltou à baila nessa semana num espiral de matérias e notas na Rádio Band, Jornal do Estado e na Gazeta do Povo, na coluna de Celso Nascimento. “Geralmente funciona assim. Um deputado faz um pronunciamento que é repercutido por parte da imprensa ou faz da matéria ou nota o objeto principal do seu pronunciamento. Tudo leva crer que é uma campanha orquestrada”, disse.
BUSCA DESENFREADA - Na pauta esquecida na escola, o repórter é informado que a RIC está “tentando o interior do estado, onde talvez seja mais fácil produzir” uma matéria, vídeo com os televisores sem funcionamento. “Luane (Camargo) fez o pedido para as praças”, adianta o pauteiro
“Enquanto isso, começamos o VT (matéria, gravação) ouvindo a denúncia do Waldir Rossoni e APP. Sugiro que você fale com a Lu, à tarde para ver se já temos o material do interior. Do contrário, o VT não fecha. Você também pode nos ajudar com alguma idéia”, completa a pauta de Andriolli.


